• Предмет: Алгебра
  • Автор: zamilaaralbaeva24
  • Вопрос задан 7 лет назад

помогите плиз,50 балов ​

Приложения:

Ответы

Ответ дал: em2891964
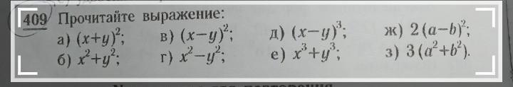
1

Ответ:

1.квадрат суммы чисел х и у

2.сумма квадратов чисел х и у

3.квадрат разности чисел х и у

4.разность квадратов чисел х и у

5. куб разности чисел х и у

6.сумма кубов чисел х и у

7.удвоенрый квадрат разности чисел а и b

8. утроенная сумма квадратов чисел а и b

Объяснение:

Су

Вас заинтересует