• Предмет: Математика
  • Автор: rolannams
  • Вопрос задан 7 лет назад

помогите пожалуйста ​

Приложения:

Ответы

Ответ дал: yevheniiavz
1

Решение

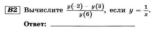
y=\frac{1}{x} \\
y(-2) => -\frac{1}{2}.\\
y(3) => \frac{1}{3}.\\
y(6) => \frac{1}{6}.\\
\\
\frac{-\frac{1}{2} - \frac{1}{3} }{\frac{1}{6} } =\frac{-\frac{5}{6} }{\frac{1}{6} } =-5.

Комментарий

Подставляем в икс значения с условия (-2,3,6) и получаем значения игрик.

Ответ

-5.

Вас заинтересует