• Предмет: Алгебра
  • Автор: zininalaska
  • Вопрос задан 7 лет назад

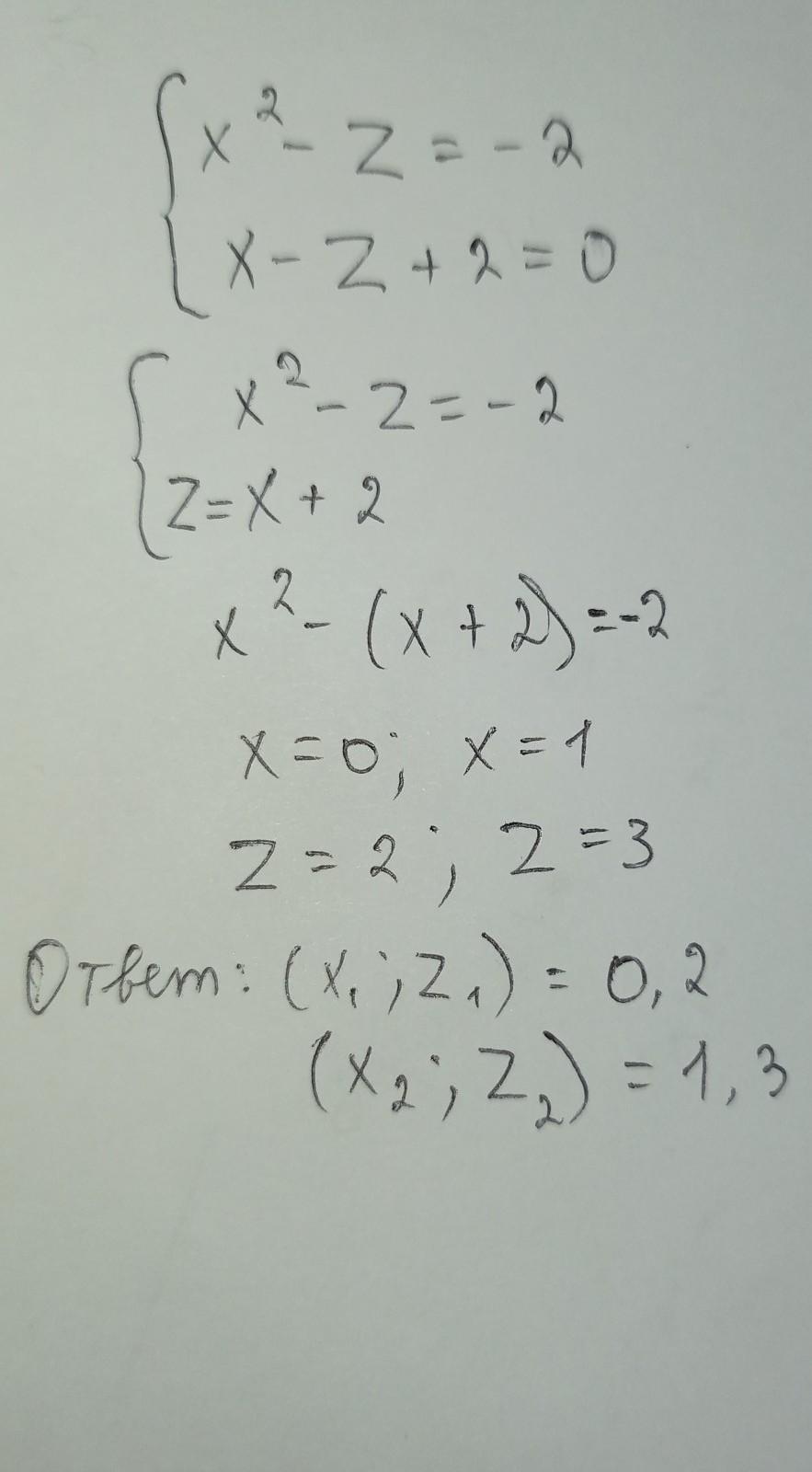
ПОМОГИТЕ пожалуйста СИСТЕМЫ УРАВНЕНИЙ

Приложения:

Ответы

Ответ дал: samoilenko2113
0

Ответ:

в общем и целом ставишь галочку в первом варианте ответа, в третьем и четвертом

Приложения:
Вас заинтересует