• Предмет: Математика
  • Автор: chasnochiQWQ
  • Вопрос задан 7 лет назад

Запиши в виде неправильной дроби 2 3/5; 6 2/7

Ответы

Ответ дал: Mmissbrain
1

Ответ:

13/5(тринадцать пятых) ; 44/7 ( сорок четыре седьмых).


prettypushkova: А как получились такие результаты?
Mmissbrain: по правила превращения смешной дроби в неправильную или неправильной дроби в смешанную . Целый показатель надо умножить на знаменатель и прибавить числитель , таким образом получаем числитель (знаменатель остаётся прежним)
prettypushkova: Ну так и надо было это написать в ответе.
Mmissbrain: ну так и в вопросе надо писать что нужен ответ с объяснением
prettypushkova: См. ответ ниже и учись.
parus77: вот потом они обижаются,почему им не отмечают "лучший ответ".
prettypushkova: А ещё, ознакомьтесь с правилами: ответ без пояснений ответом не считается. Если человек спрашивает, значит он по каким-то причинам не знает как решать, поэтому нужен ответ с пояснениями.
Mmissbrain: во-первых если есть ответ, который тебя устраивает, то можно просто проигнорировать ответ , который не устраивает, а во-вторых что за претензии, не нравится можно удалить и всё , не портить настроение человеку который отвечал , и себе (я бы на твоём месте просто бы не тсла тратить время и всё)
Ответ дал: parus77
3

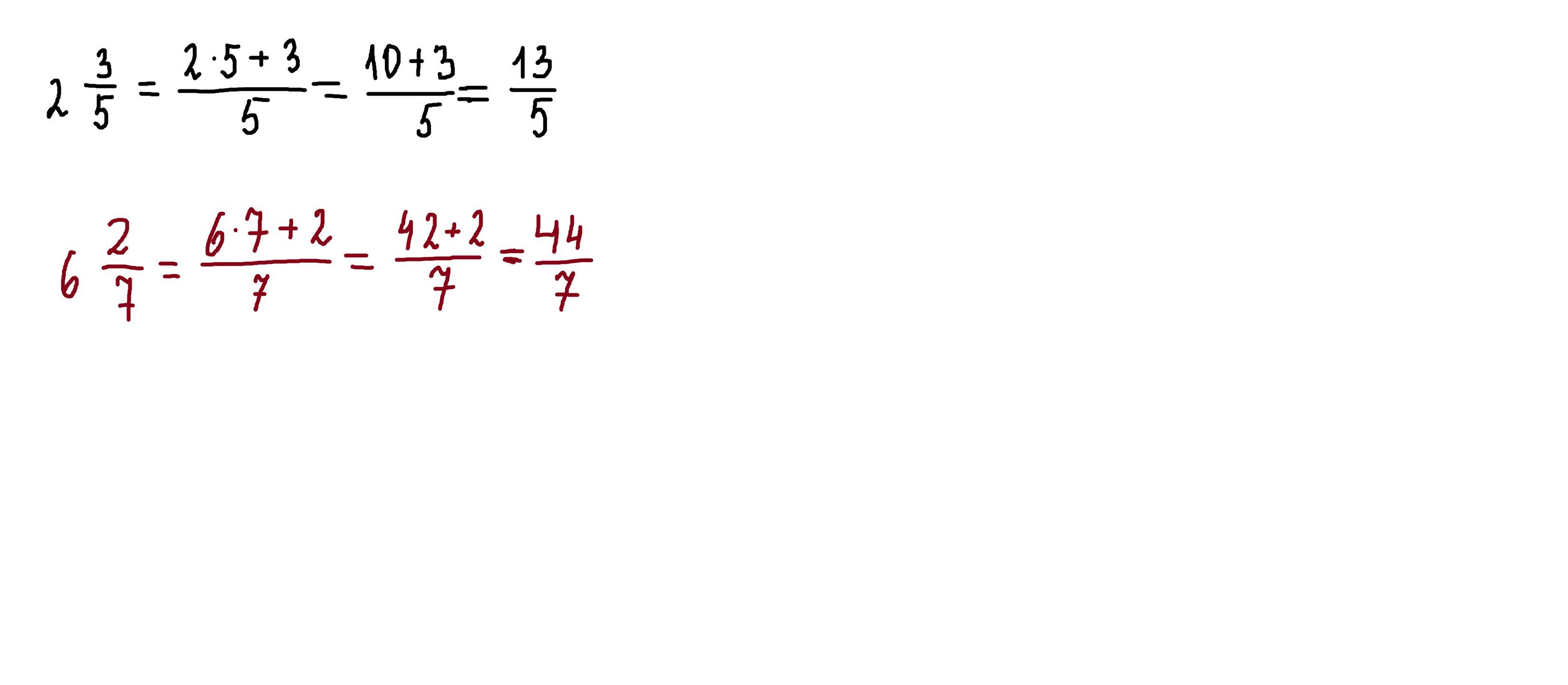
Ответ:

2 3/5=13/5;     6 2/7= 44/7

Пошаговое объяснение:

решение внизу

Приложения:
Вас заинтересует