• Предмет: Математика
  • Автор: brawler2281
  • Вопрос задан 7 лет назад

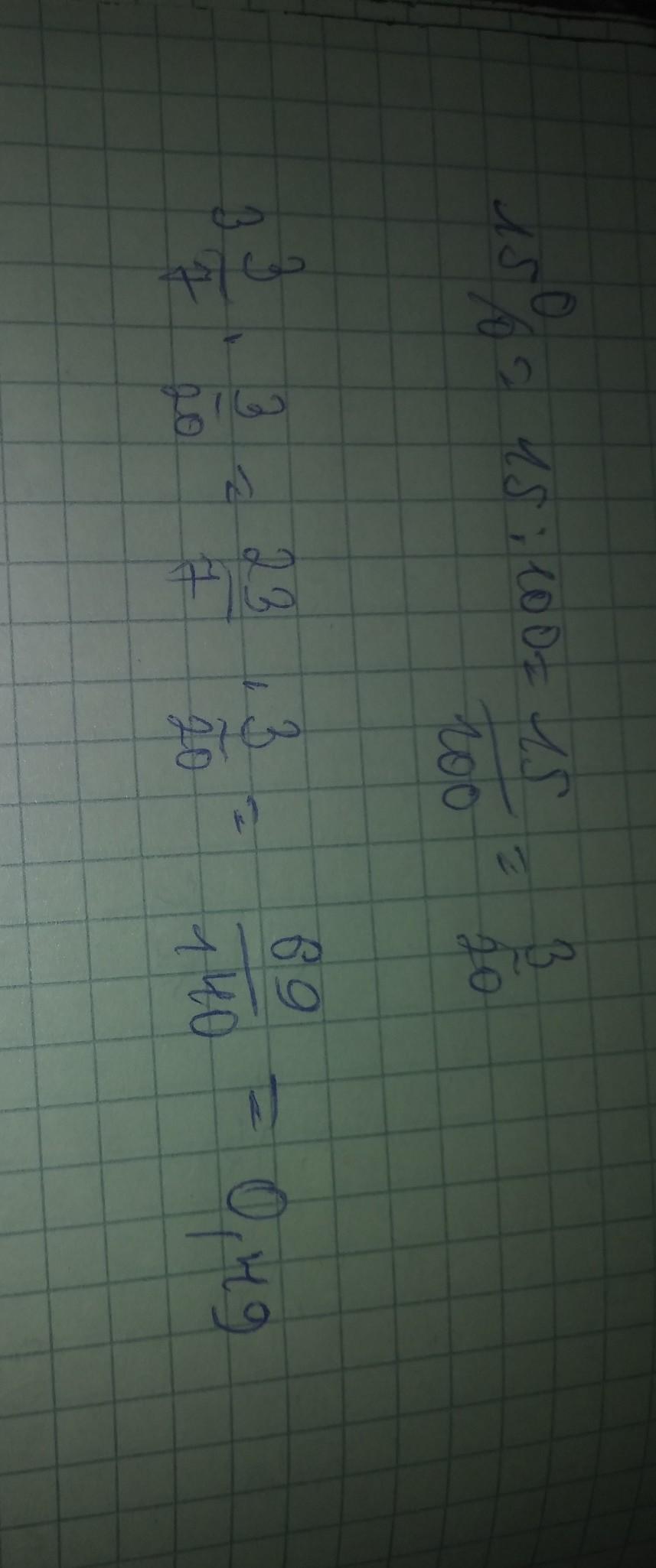
Найдите 15% от числа 3 2/7 Ответ представьте в виде десятичной дроби, округлённой до сотых долей.


jekadva: ответ: 0.49
brawler2281: ответ 0,493
jekadva: округлённой до сотых долей.

Ответы

Ответ дал: aristoktararistokrat
1

Ответ на фото

Обьяснение:

Приложения:
Вас заинтересует