• Предмет: Алгебра
  • Автор: showalina34
  • Вопрос задан 7 лет назад

помогите пожалуйста срочно ​

Приложения:

lostinthemetropolis: Домножимо друге рівняння в системі на 2:

Ответы

Ответ дал: lostinthemetropolis
0
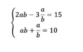
Умножим второе уравнение из системы на 2: 2ab + 2а/b = 20 Отнимем 2-е уравнение, умноженное на 2, от 1-го: 2ab - 2ab - 3а/b - 2a/b = 15 -20 -5a/b = -5 a/b = -5 : (-5) = 1. Подставим значение а/b = 1 во второе уравнение: ab + 1 = 10 ab = 10 - 1 = 9. Имеем новую систему уравнений: а/b = 1 ab = 9 Если а/b = 1, то a = b. ab = a² = b² = 9. Есть два варианта ответов: 1) а = b = 3 2)а = b = -3
Вас заинтересует