Ответы
Ответ дал:
0
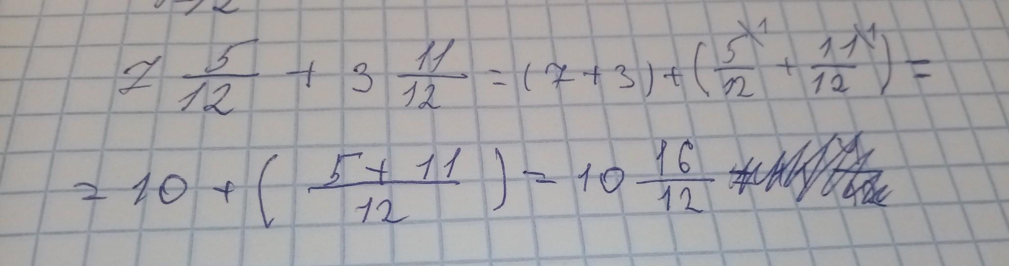
Ответ:10 16/12
Пошаговое объяснение:
если знаменатель одинаковый то числители прибавляем и все,и целые числа складываем
Ответ дал:
0
Ответ:
10 16/12.
Пошаговое объяснение:
Сначала мы складываем целые числа, потом мы складываем дробные числа
Приложения:

Вас заинтересует
2 года назад
2 года назад
2 года назад
2 года назад
8 лет назад