Помогите, пожалуйста!
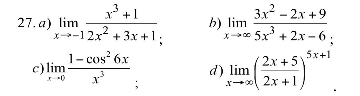
Найти пределы функций, не пользуясь правилом Лопиталя.
А также, указать для каждого предела вид неопределимости
Приложения:

Ответы
Ответ дал:
1
Ответ:
Объяснение:
!!!!!!!!!!!!!!!!!!!!!!!
Приложения:


Вас заинтересует
2 года назад
2 года назад
8 лет назад
9 лет назад