• Предмет: Математика
  • Автор: bogdanruzmikin56
  • Вопрос задан 7 лет назад

Помогите пожалуйста тест ​

Приложения:

Ответы

Ответ дал: larisaserova53
1

Ответ:

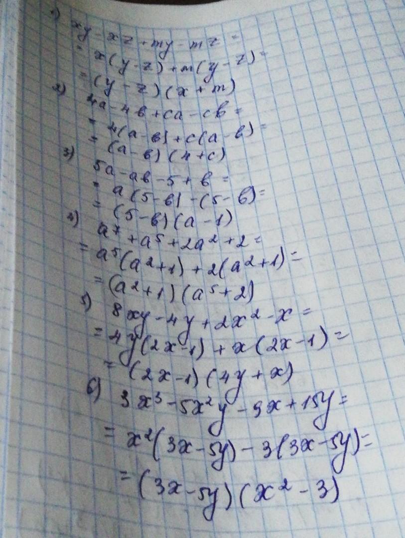
Смотри решение на фото...

Приложения:
Вас заинтересует