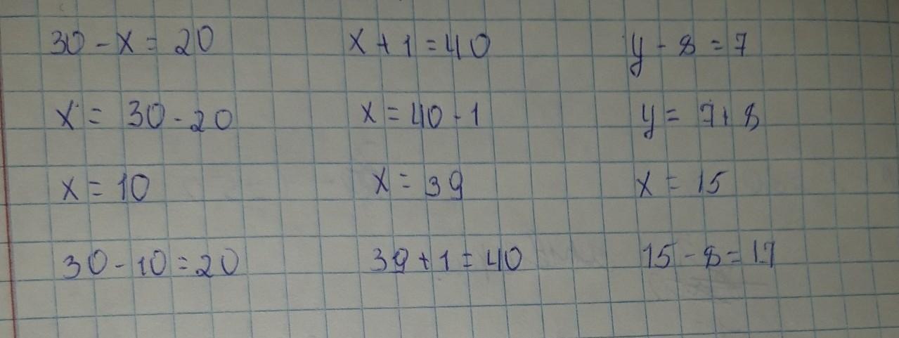
реши уравнения 30-х=20,х+1=40,у-8=7
gulfinaabdikarimova3:
спосибо огромное я так блогодарен ❤❤❤❤♀️
Ответы
Ответ дал:
2
Ответ:
вот правильный ответ .!
Приложения:

Вас заинтересует
2 года назад
2 года назад
2 года назад
2 года назад