Ответы
Ответ дал:
0
Ответ:
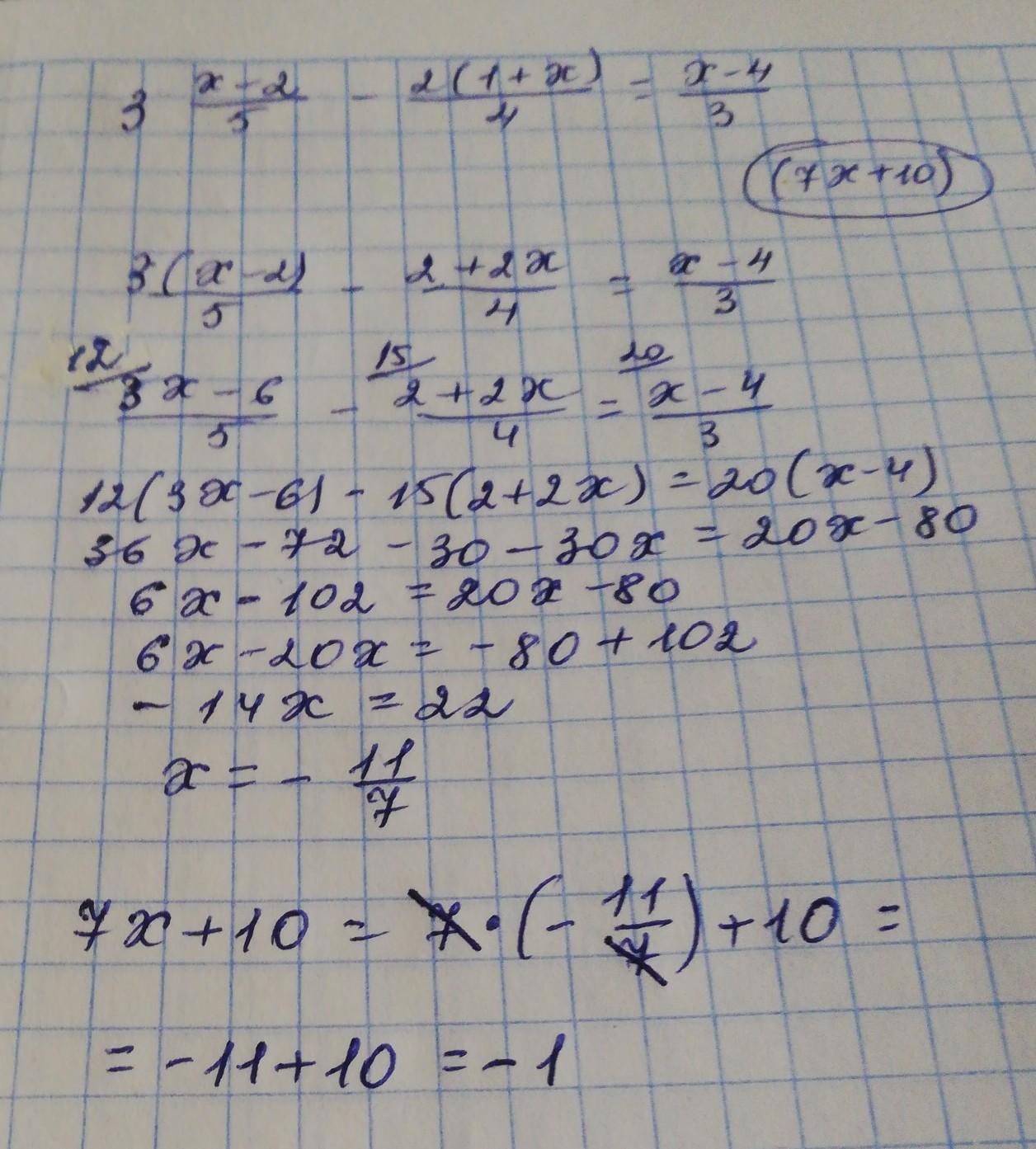
Смотри решение на фото...
Приложения:

daanadautova50:
Спасибо, правильно
Вас заинтересует
2 года назад
2 года назад
2 года назад
2 года назад
8 лет назад
8 лет назад
9 лет назад