• Предмет: Математика
  • Автор: daanadautova50
  • Вопрос задан 7 лет назад

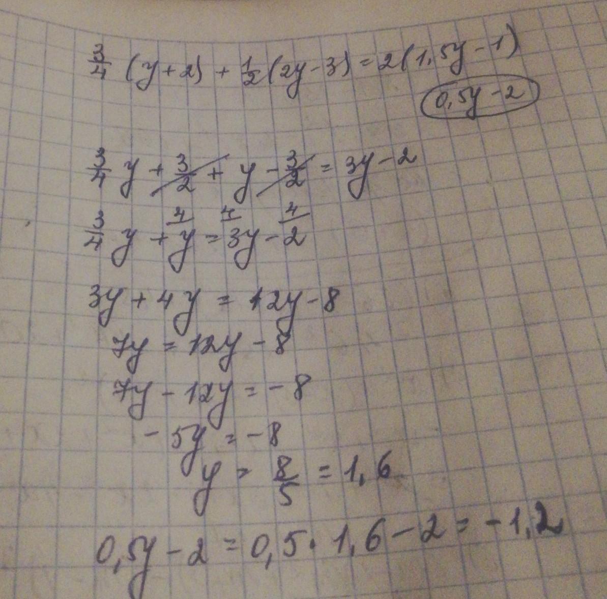
Равносильные уравнения. Линейное уравнение с одной переменной. Решение линейных уравнений с одной переменной. Урок 5 Найди корень уравнения (y + 2) + (2y – 3) = 2(1,5y – 1) и вычисли значение выражения 0,5y – 2 Ответ: .​

Приложения:

jekadva: ответ: -1,2
Edgar1105: -1.2

Ответы

Ответ дал: larisaserova53
14

Ответ:..Смотри решение на фото..

Приложения:

amilaakiseva: ответ -1,2
amilaakiseva: ответ -1,2
akramabdullaevv2000: о амила это ты?
cube1master: араб прав, -1,2
Edgar1105: -1.2
uliyazakr: спасибо коментам
mskomanda534: Спасибо челам из коментам
Salmina11: ответ -1.2
omarovaraina16: рмпгрпсчк
Вас заинтересует