• Предмет: Математика
  • Автор: yana060807
  • Вопрос задан 7 лет назад

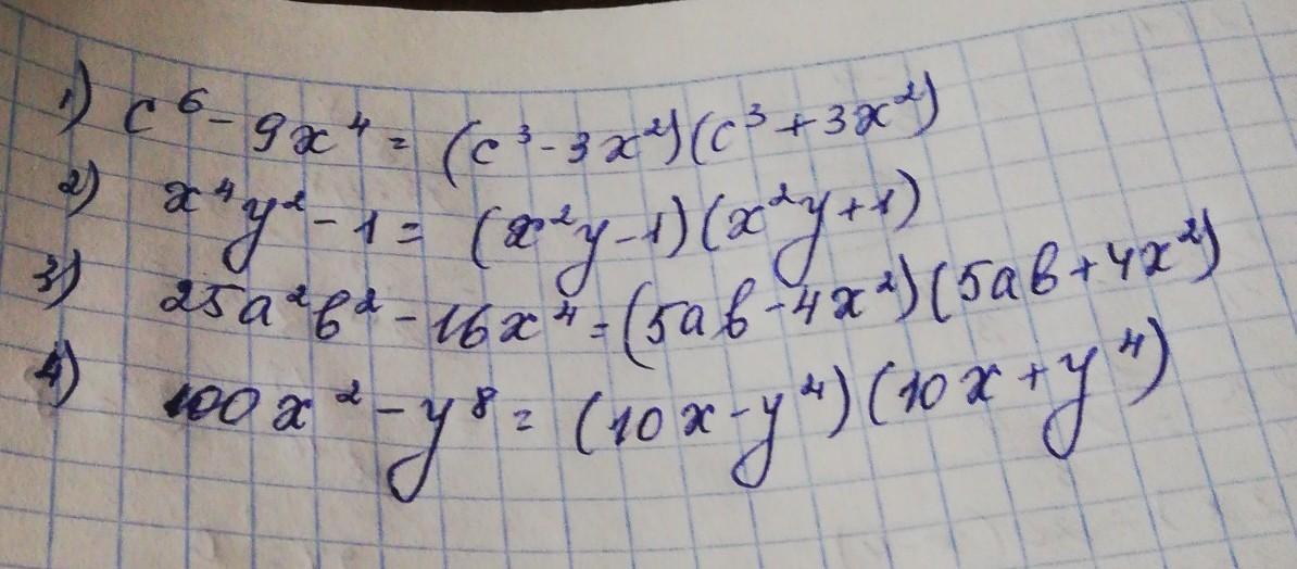
5.51. Представьте выражен
1) св—9x4;
3) 25a2b2—16x4;
2) ху?—1;
4) 100х2-y8.
НУЖНО СДЕЛАТЬ 5.51

Приложения:

Ответы

Ответ дал: larisaserova53
11

Ответ:

Смотри решение на фото...

Приложения:

gayu58: Bruh
Вас заинтересует