Ответы
Ответ дал:
0
Пошаговое объяснение:
Ответ дал:
1
Ответ:
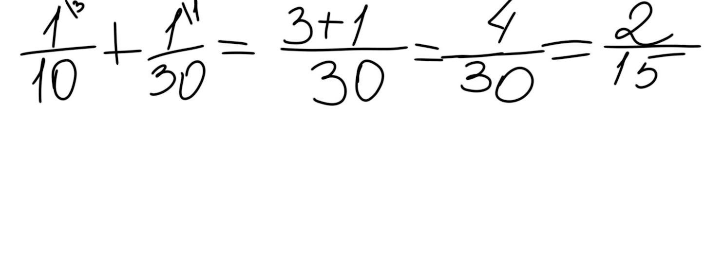
1/10+1/30=3+1/30=4/30=2/15
есть фото,если что
Приложения:

Вас заинтересует
2 года назад
2 года назад
8 лет назад
9 лет назад