Ответы
Ответ дал:
1
Ответ:
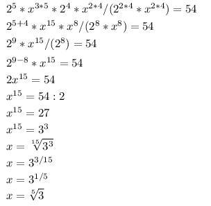
на картинке , вообщем x= 15корень 3 в 3 степени
Приложения:

pivovarovaelena590:
спасибо, а если корни не проходили?
Ответ дал:
1
Ответ:
3^1/5 =
Объяснение:
Приложения:

Вас заинтересует
2 года назад
2 года назад
8 лет назад
8 лет назад
9 лет назад