Ответы
Ответ дал:
1
Ответ:
Пошаговое объяснение:
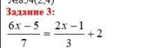
(6х-5)/7=(2х-1)/3 + 2
3(6х-5)=7(2х-1) + 42
18х-15= 14х-7+42
18х-14х= -7+42+15
4х= 50
х= 50 : 4
х=12 1/2
Ответ дал:
0
Ответ:
Пошаговое объяснение:
Приложения:

Вас заинтересует
2 года назад
2 года назад
2 года назад
8 лет назад
9 лет назад
9 лет назад