• Предмет: Математика
  • Автор: albinasisenova33
  • Вопрос задан 7 лет назад

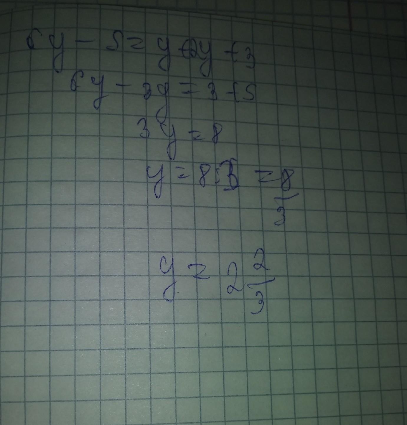
Равносильные уравнения. Линейное уравнение с одной переменной. Решение линейных уравнений с одной переменной. Урок 4 Найди корень уравнения: 6y-5 = y + 2y+3
3. 8. 4​

Ответы

Ответ дал: aristoktararistokrat
1

Ответ на фото

Обьяснение:

приводим подобные,переносим числа,чтобы иксы были с иксами,числа с числами

Приложения:

albinasisenova33: не правильно
aristoktararistokrat: можно обьяснение
albinasisenova33: я вела твой ответ в онлайн мектеп и там оно показывается что твой ответ не правильный
Ответ дал: ajdynajbasov2
1

Ответ:

Ответ будет одна целая 25/33

Вас заинтересует