• Предмет: Математика
  • Автор: ydtyyesrtyd
  • Вопрос задан 7 лет назад

Помогите с математикой

Приложения:

Ответы

Ответ дал: jekadva
0

Ответ:

Пошаговое объяснение:

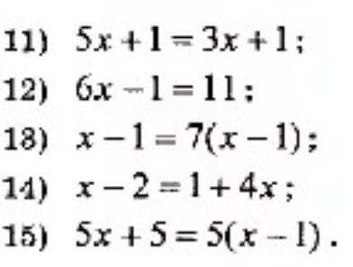
5x + 1 = 3x + 1

5x - 3x = 1 - 1

2x = 0

x = 0

===========

6x - 1 = 11

6x = 1 + 11

6x = 12

x = 12:6

x = 2

=============

x - 1 = 7(x - 1)

x - 1 = 7x - 7

7x - x = 7 - 1

7x = 6

x = 6 : 6

x = 1

===============

x - 2 = 1 + 4x

4x - x = -2 - 1

3x = -3

x = -3:3

x = -1

=============

5x + 5 = 5(x - 1)

5x + 5 = 5x - 5

5x - 5x = -5 - 5

0 = -10

0 ≠ -10

уравнение не имеет корней

Вас заинтересует