• Предмет: Математика
  • Автор: adelinaraimberdieva3
  • Вопрос задан 7 лет назад

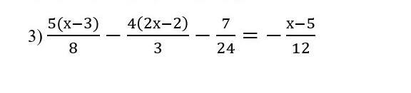
уравнение в фоте дам 30 баллов​

Приложения:

anak93375: я же говорю ответ 22/51
MazikinMaze: ответ: 2/47

Ответы

Ответ дал: MazikinMaze
0

ответ приведен в приложении

Приложения:
Вас заинтересует