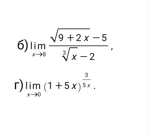
С объяснением, пожалуйста. Найти пределы, не применяя дифференциальное исчисление (правило Лопиталя):
Приложения:

Ответы
Ответ дал:
1
б) Сделаем замену (только для удобства) . Тогда предел перепишется в виде
. Поскольку
(докажите самостоятельно), то
С другой стороны, можем умножить и разделить дробь на сопряженное:
В итоге получили , следовательно искомый предел равен
.
г) .
Вас заинтересует
2 года назад
2 года назад
2 года назад
8 лет назад
8 лет назад
9 лет назад