• Предмет: Математика
  • Автор: karinakorneva2009
  • Вопрос задан 7 лет назад

Помогите пожалуйста решите уравнение

Приложения:

Ответы

Ответ дал: yevheniiavz
1

Решение

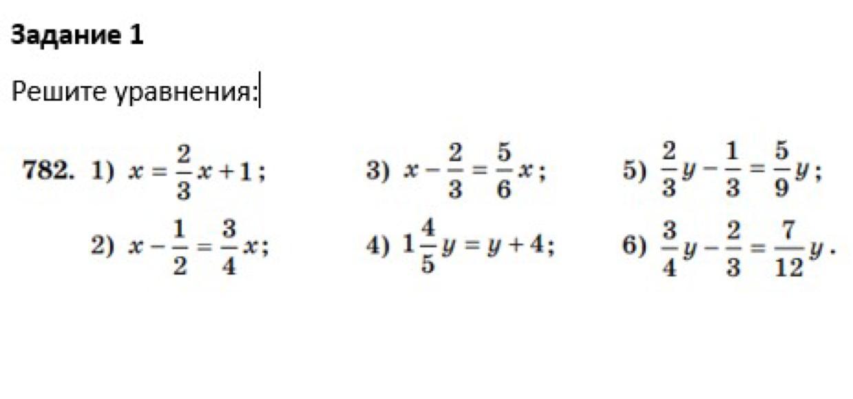
1)\\
x=\frac{2}{3} x+1.\\
3x=2x+3.\\
x=3.\\
2)\\
x-\frac{1}{2}=\frac{3}{4}x  .\\
4x-2=3x\\
4x-3x=2. => x=2.\\
3)\\
x-\frac{2}{3} =\frac{5}{6} x.\\
6x-4=5x.\\
6x-5x=4. => x=4.\\
4)\\
1\frac{4}{5} y=y+4.\\
\frac{9}{5}y=y+4.\\
9y-5y=20.\\
4y=20. => y=5.\\
5)\\
\frac{2}{3} y-\frac{1}{3} =\frac{5}{9}y.\\
6y-3=5y.\\
1y=3. => y=3.\\
6)\\
\frac{3}{4} y-\frac{2}{3} =\frac{7}{12}y.\\
9y-8=7y.\\
9y-7y=8\\
2y=8. => y=4.

Вас заинтересует