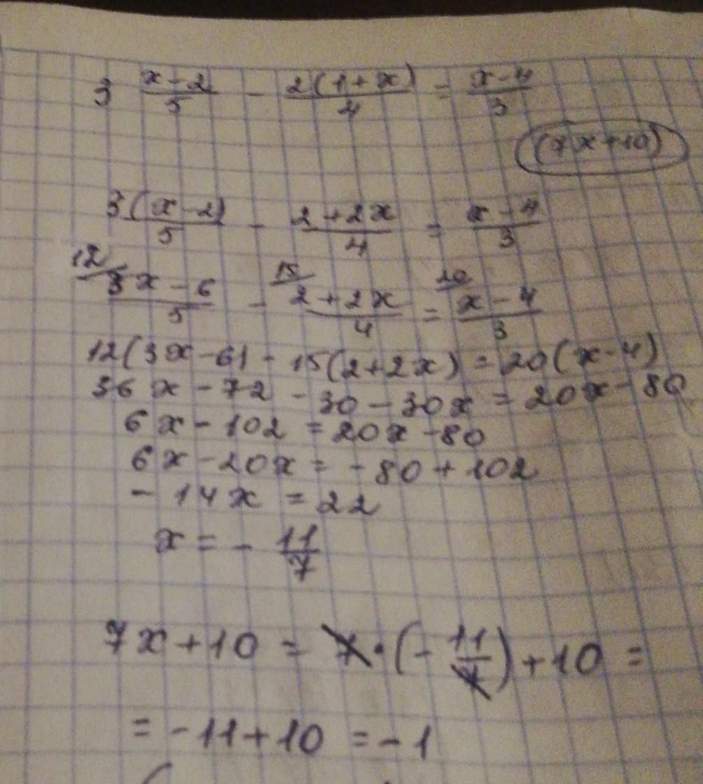
Равносильные уравнения. Линейное уравнение с одной переменной. Решение линейных уравнений с одной переменной. Урок 4 Реши уравнение и найди значение выражения 7x + 10.
Приложения:

Ответы
Ответ дал:
6
Ответ:
Смотри решение на фото...
Приложения:

ptanya063:
ответ:-1
Вас заинтересует
2 года назад
2 года назад
2 года назад
2 года назад
8 лет назад
9 лет назад
9 лет назад