• Предмет: Алгебра
  • Автор: tovetpros
  • Вопрос задан 7 лет назад

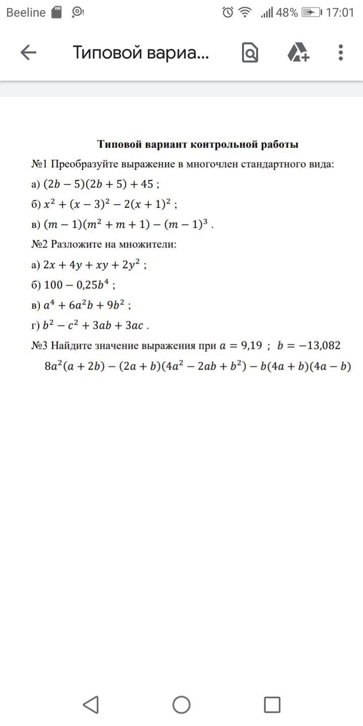
СРОЧНО, ПОЖАЛУЙСТА, СЕЙЧАС
алгебра, 7 класс, выполнить номер 1, задание указано в файле, номер там же

Приложения:

Ответы

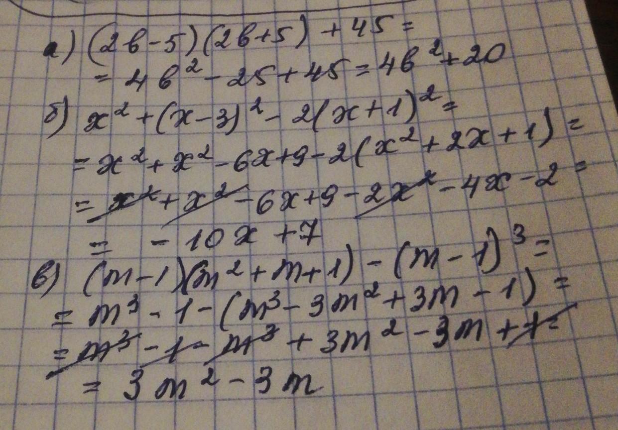
Ответ дал: larisaserova53
1

Ответ:

Смотри решение на фото...

Приложения:
Вас заинтересует