• Предмет: Алгебра
  • Автор: Аноним
  • Вопрос задан 7 лет назад

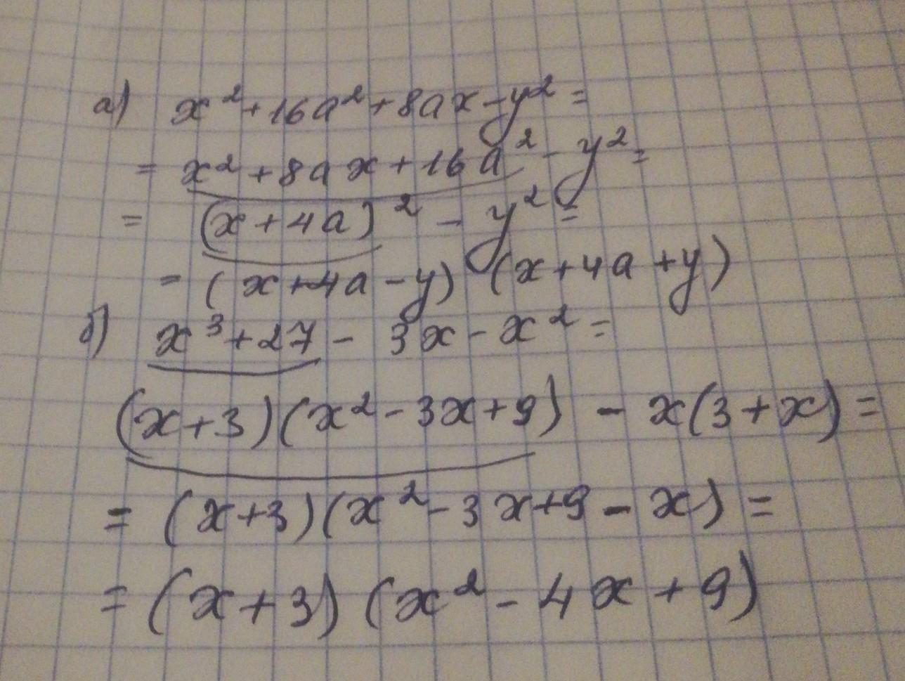
5. Розкладіть на множники:
А) х2 + 16а2 + 8ах - у2
б) х3 + 27 – 3х - х2

Ответы

Ответ дал: larisaserova53
1

Ответ:

Смотри решение на фото.

Приложения:

Аноним: спс
Ответ дал: Пеппер
1

Объяснение:

А) х² + 16а² + 8ах - у²=(х²+8ах+16а²)-у²=(х+4а)²-у²=(х+4а-у)(х+4а+у)

б) х³ + 27 – 3х - х²=(х+3)(х²-3х+9)-х(х+3)=(х+3)(х²-3х+9-х)=(х+3)(х²-4х+9).

Вас заинтересует