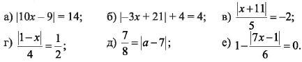
Не решая данные уравнения, определите сколько у них корней. Решив уравнения, определите верны или неверны ваши предположения:
помагите пж
даю 20 баллов
Приложения:

ayna12:
срочно!!!!!!
Ответы
Ответ дал:
3
Ответ:
см фото
Пошаговое объяснение:
2 корня, если модуль равен положительному числу
В знаке модуля может быть как положительное так и отрицательное число.
|х | =4, значит х1= -4 и х2=4
1 корень, если модуль равен 0
|х | =0, значит х1= 0
нет корней, если модуль отрицательное число
|х | = -5 , значит х не существует! Решений нет
Приложения:


Вас заинтересует
2 года назад
2 года назад
8 лет назад
9 лет назад