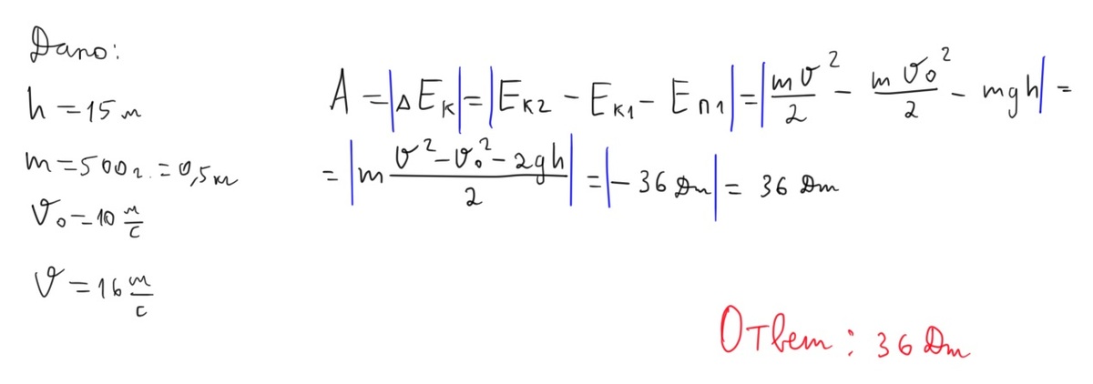
С высоты 15 м над поверхностью земли вертикально вниз брошен мяч массой 500 г со скоростью 10 м/с.
Мяч упал на поверхность земли со скоростью 16 м/с.
Определите абсолютную величину работы, совершаемую силой сопротивления воздуха при движении мяча.
Ответы
Ответ дал:
0
Решение на картинке.
Приложения:

Вас заинтересует
8 лет назад
10 лет назад
10 лет назад
10 лет назад