• Предмет: Алгебра
  • Автор: subscribemibs
  • Вопрос задан 7 лет назад

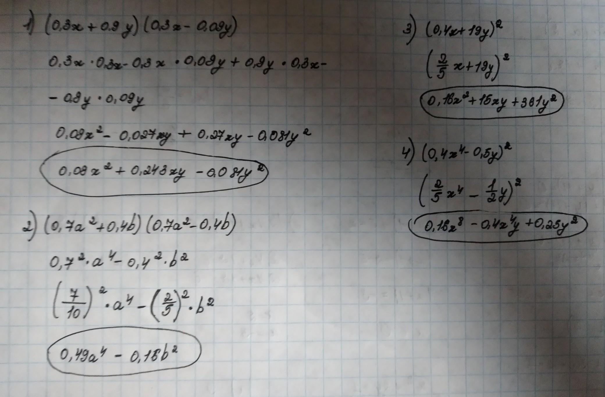
представьте в виде многочлена выражение 1) (0,3х + 0,9у)(0,3х-0,09у)
2) (0,7а²+0,4b)(0,7a²-0,4b)
3) (0,4x+19y)²
4) (0,4x⁴-0,5y)²
СРОЧНО ПОЖАЛУЙСТА​

Ответы

Ответ дал: pinkbrein5
1

Ответ:

Все в фото

Объяснение:

Все и что как делать в фото

Приложения:
Вас заинтересует