Ответы
Ответ дал:
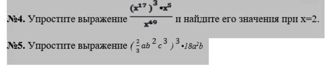
1
Объяснение:
пожалуйста................................
Приложения:

Вас заинтересует
2 года назад
2 года назад
2 года назад
8 лет назад
8 лет назад