• Предмет: Алгебра
  • Автор: yulyakalugina08
  • Вопрос задан 7 лет назад

Разложите на множители

Приложения:

Ответы

Ответ дал: Warlock1
1

Ответ:

так

Объяснение:

Приложения:

talsss: эх немного не успал
Ответ дал: MagdaSinger
1

Ответ:

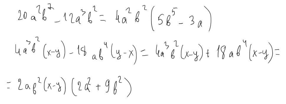
 20a  ^ { 2  }  b  ^ { 7  }  -12a  ^ { 3  }  b  ^ { 2  }   =4(5a^2b^7-3a^3b^2)=4a^2b^2(5b^5-3a)\\
 4a  ^ { 3  }  b  ^ { 2  }  (x-y)-18ab  ^ { 4  }  (y-x) =4xb^2a^3+18axb^4-4yb^2a^3-18ayb^4

Объяснение:

Вас заинтересует