• Предмет: Математика
  • Автор: rayahvan746
  • Вопрос задан 7 лет назад

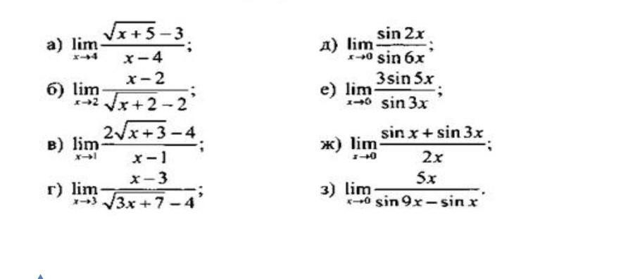
помогите с математикой ​

Приложения:

Ответы

Ответ дал: sangers1959
0

Пошаговое объяснение:

a)\  \lim_{x \to 4} \frac{\sqrt{x+5}-3 }{x-4}=\lim_{x \to 4} \frac{(\sqrt{x+5}-3 )'}{(x-4)'}= \lim_{x \to 4} \frac{\frac{1}{2\sqrt{x+5} } }{1} = \lim_{x \to 4} \frac{1}{2*\sqrt{x+5} }=\\
 =\frac{1}{2*\sqrt{4+5} }=\frac{1}{2\sqrt{9} }=\frac{1}{2*3}=\frac{1}{6}.\\

 b)\  \lim_{x \to 2} \frac{x-2}{\sqrt{x+2}-2 } =  \lim_{x \to 2} \frac{(x-2)'}{(\sqrt{x+2}-2)' } = \lim_{x \to 2}\frac{1}{\frac{1}{2\sqrt{x+2} } } = \lim_{x \to 2}( 2*\sqrt{x+2})=\\
 =2*\sqrt{2+2}=2*\sqrt{4} =2*2=4.

c)\  \lim_{x \to 1} \frac{2\sqrt{x+3}-4 }{x-1}= \lim_{x \to 1} \frac{(2\sqrt{x+3}-4)' }{(x-1)'}=  \lim_{x \to 1} \frac{\frac{2}{2\sqrt{x+3} } }{1} = \lim_{n \to 1} \frac{1}{\sqrt{x+3} }=\\
 = \frac{1}{\sqrt{1+3} } =\frac{1}{\sqrt{4} } =\frac{1}{2} .

d)\  \lim_{x \to3 } \frac{x-3}{\sqrt{3x+7}-4 }=  \lim_{x \to 3 } \frac{(x-3)'}{(\sqrt{3x+7}-4 )'}= \lim_{x \to 3} \frac{1}{\frac{1}{2\sqrt{3x+7} } }= \lim_{x \to 3} 2\sqrt{3x+7} =\\
 =2*\sqrt{3*3+7}=2*\sqrt{9+7}=2*\sqrt{16} =2*4=8.


rayahvan746: большое спасибо)❤️
sangers1959: Удачи.
Вас заинтересует