• Предмет: Алгебра
  • Автор: JASzeeroo
  • Вопрос задан 7 лет назад

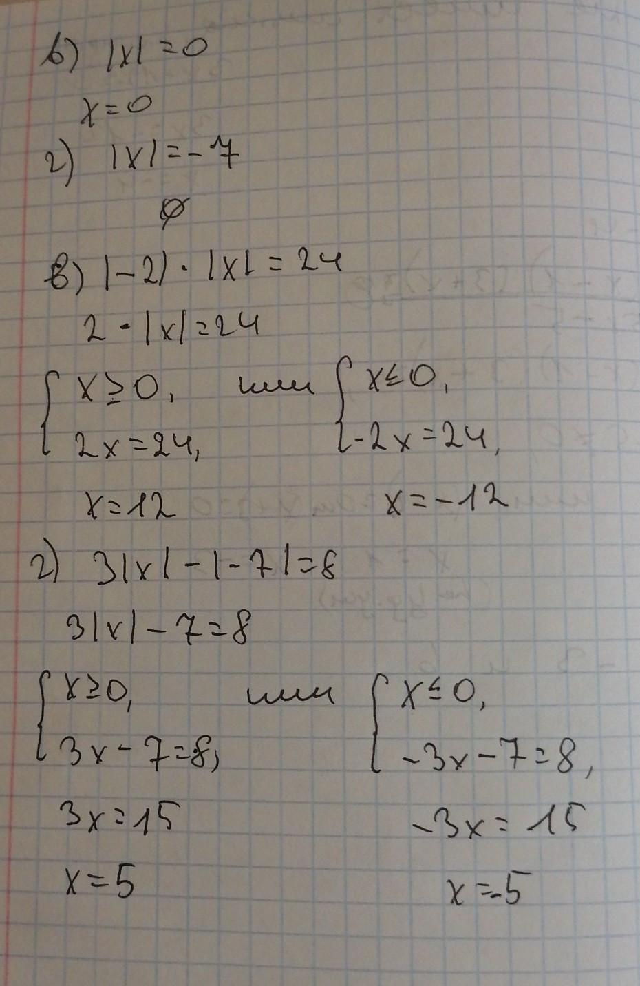
в) |х|=0;
г) |х|=-7.


в)|-2|×|х|=24;
г)3|х|-|-7|=8.​

Ответы

Ответ дал: Grudiant
1

Объяснение:

В)x=0
Г)Нет решений, модуль числа всегда положителен

В)2*|x|=24
|x|=12
x= -12; 12
Г)3|x|-7=8
3|x|=15
|x|=5
x= -5; 5

Ответ дал: egormarincev06
1

____________________

Приложения:
Вас заинтересует