Пожалуйста решитееееееее каждое из них срочнооооо
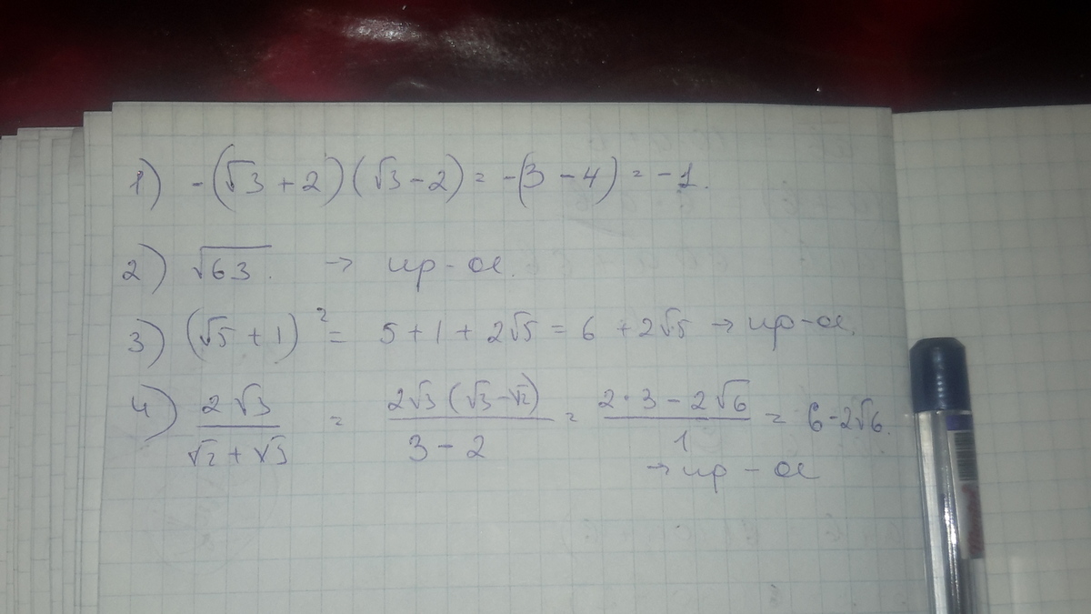
Значение какого из выражений является числом рациональным?
1)(√3+2)(2- √3)
2) √7×√9
3)( √5+1)и все это в квадрате
4)2√3 черта дроби √2+√3
Ответы
Ответ дал:
0
""""""""""""""""""""""""""""""""""""""
Приложения:

Вас заинтересует
2 года назад
8 лет назад
8 лет назад
10 лет назад
10 лет назад