Ответы
Ответ дал:
0
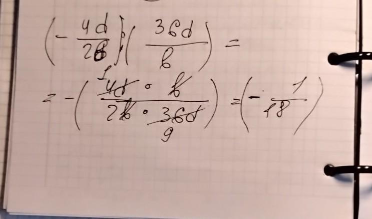
вот ответ на твой вопрос .....
Приложения:

artemtabakov152312:
спасибо
Вас заинтересует
2 года назад
2 года назад
2 года назад
8 лет назад
8 лет назад
9 лет назад
9 лет назад