Ответы
Ответ дал:
0
Доброго времени суток.
Решение во вложении.
Приложения:

Ответ дал:
0
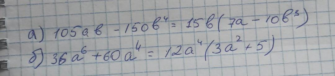
Ответ:1)105ab-150b⁴=15b(7a-10b³)
2)36a⁶+60a⁴=6a⁴(6a²+10)
Объяснение:
Вас заинтересует
2 года назад
2 года назад
2 года назад
8 лет назад
9 лет назад