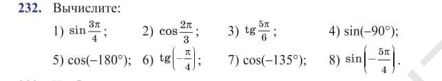
• Предмет: Алгебра
  • Автор: armygirl7
  • Вопрос задан 7 лет назад

срочно пжжжжж!!!!!!!!!!!!!!!!!!!

Приложения:

Ответы

Ответ дал: yaraslavpanin
1

Ответ:

Вот пиши таблицу прилогаю где отрицательный знак ставиш противоположенное значение, то есть выносишь минус

Приложения:
Вас заинтересует