Ответы
Ответ дал:
12
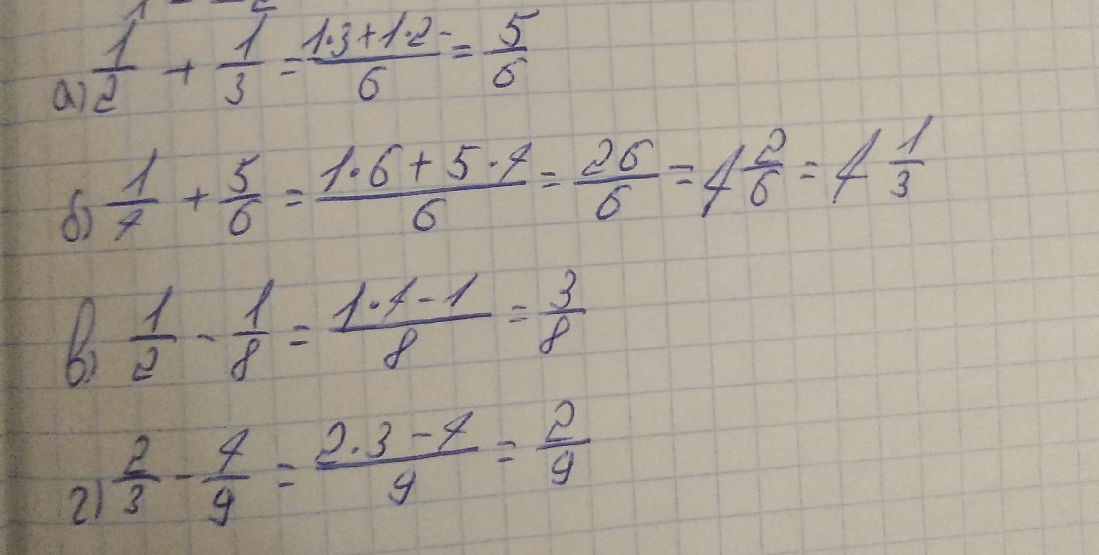
1/2+1/3=3/6+2/6=5/6
1/4+5/6=3/12+10/12=13/12=1 1/12
1/2-1/8=4/8-1/8=3/8
2/3-4/9=6/9-4/9=2/9
arinabranceva398:
Спс
Ответ дал:
5
,,,,,,,,,,,,,,,,,,,,,,,,,,,,,,,,,,,,,,,,,,,,,,
Приложения:

Вас заинтересует
2 года назад
2 года назад
8 лет назад
8 лет назад
9 лет назад