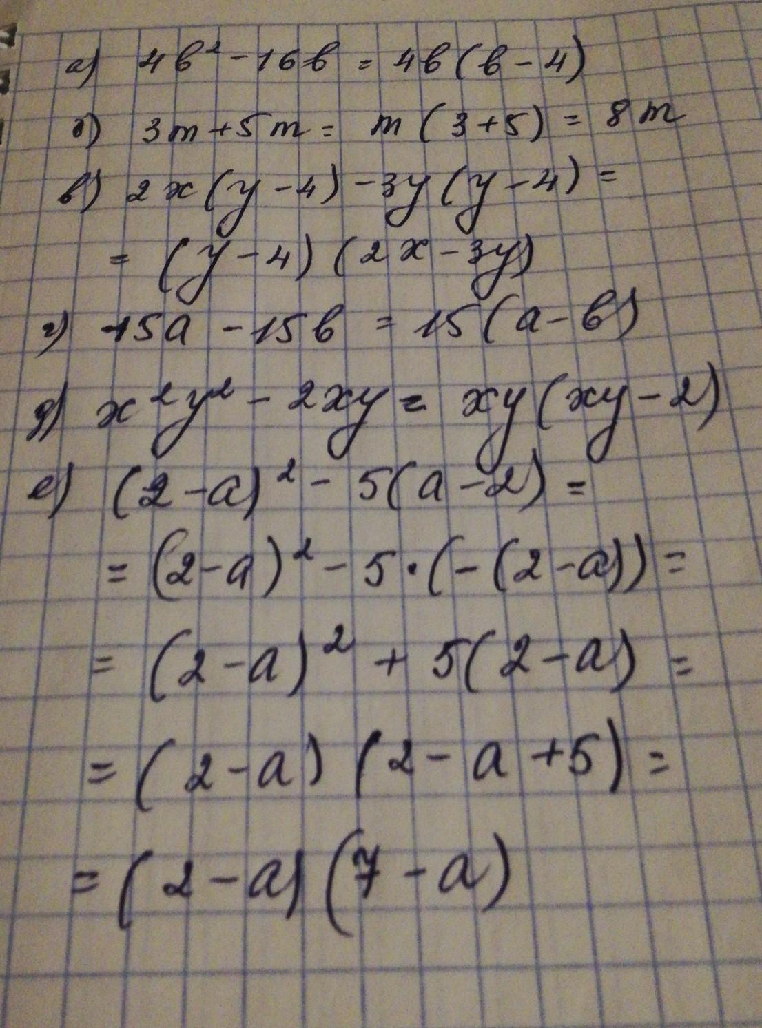
ПОМОГИТЕ ПОЖАЛУЙСТА ДАЮ 30 БАЛЛОВ Разложите на множители: a) 4b2 - 16b; б) 3m + 5m; в) 2х(у - 4) - Зу(у - 4); г) 15a - 5b; д) x2y2 - 2xy; e) (2 - a)2 - 5(a - 2)
Ответы
Ответ дал:
3
Ответ:
Смотри решение на фото...
Приложения:

Вас заинтересует
2 года назад
2 года назад
2 года назад
2 года назад
8 лет назад
9 лет назад