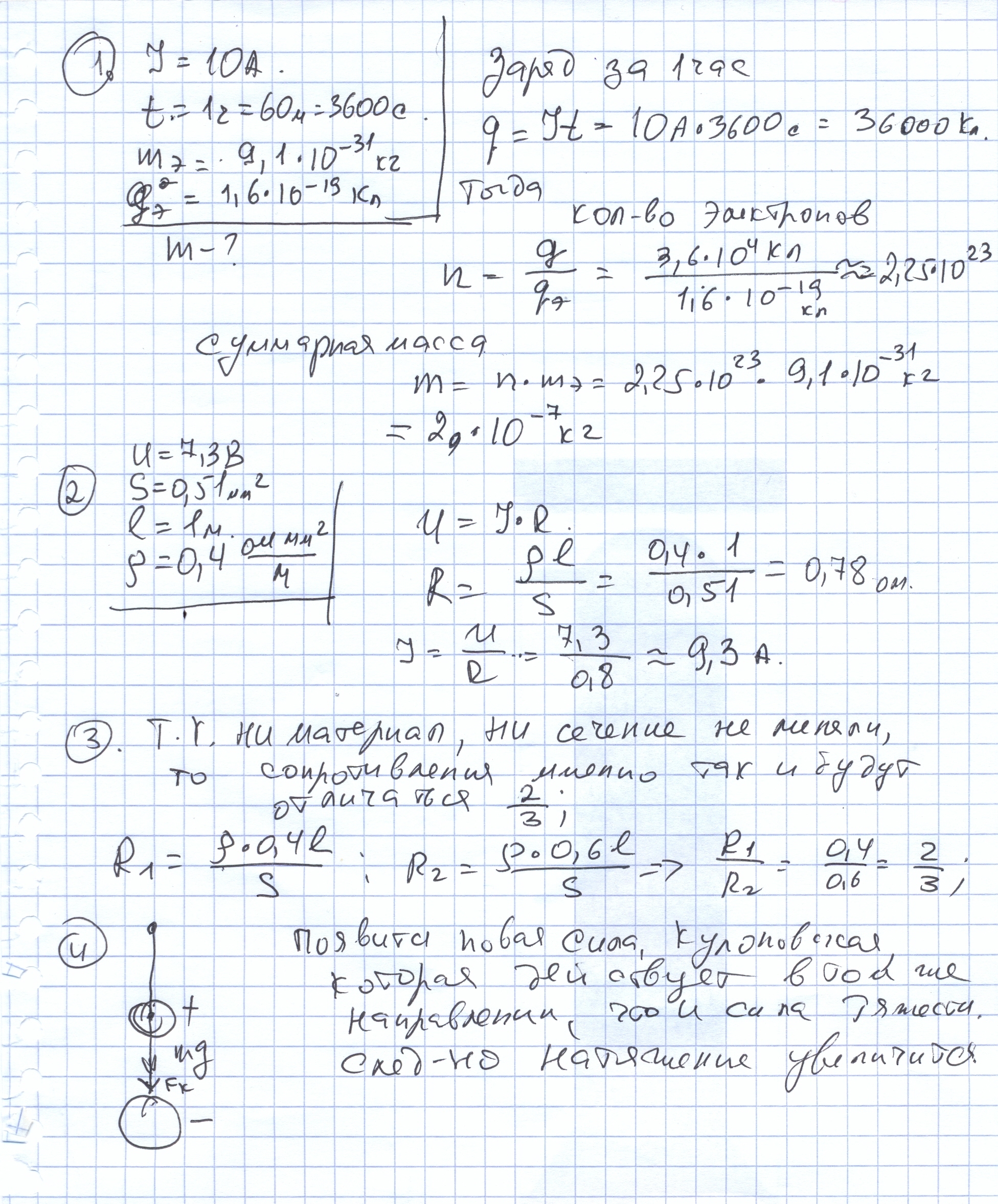
1)Сила тока в проводнике 10 А. Найти массу электронов, прошедших через поперечное сечение проводника за 1 ч?
2)К никелиновой проволоке сечением 0,51 мм2 и длиной 1 м подведено напряжение 7,3 В. Найти силу тока в проводнике.
3)Проводник длиной 1 м разрезали в отношении 2/3. Как отличаются их сопротивления?
4)Заряженный шарик висит на нити. Как изменится сила натяжения нити, если снизу поднести такой же шарик заряженный разноименно?
Ответы
Ответ дал:
0
Решение в скане...........
Приложения:
Вас заинтересует
3 года назад
3 года назад
8 лет назад
8 лет назад
11 лет назад
11 лет назад
11 лет назад