• Предмет: Алгебра
  • Автор: Аноним
  • Вопрос задан 7 лет назад

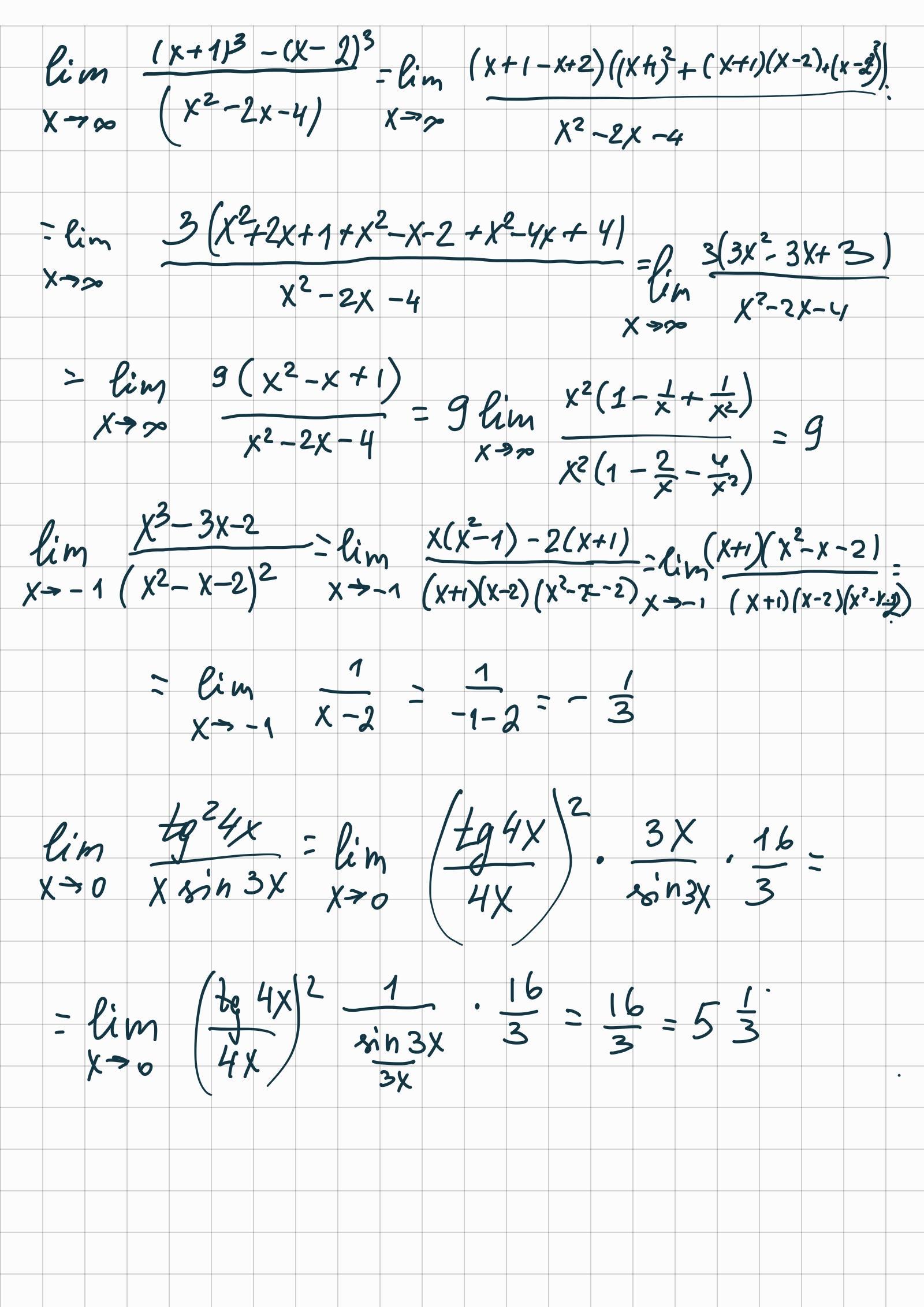
Здравствуйте помогите пожалуйста решить не используя правило Лопителя
а,б,в ​

Приложения:

Ответы

Ответ дал: olgaua64
1

Відповідь:

Пояснення:

Приложения:
Вас заинтересует