• Предмет: Математика
  • Автор: fhs86
  • Вопрос задан 7 лет назад

СРОЧНО!!!!!!!! Прошу помогите с 2 номером

Приложения:

Ответы

Ответ дал: parus77
0

Ответ:

Пошаговое объяснение:

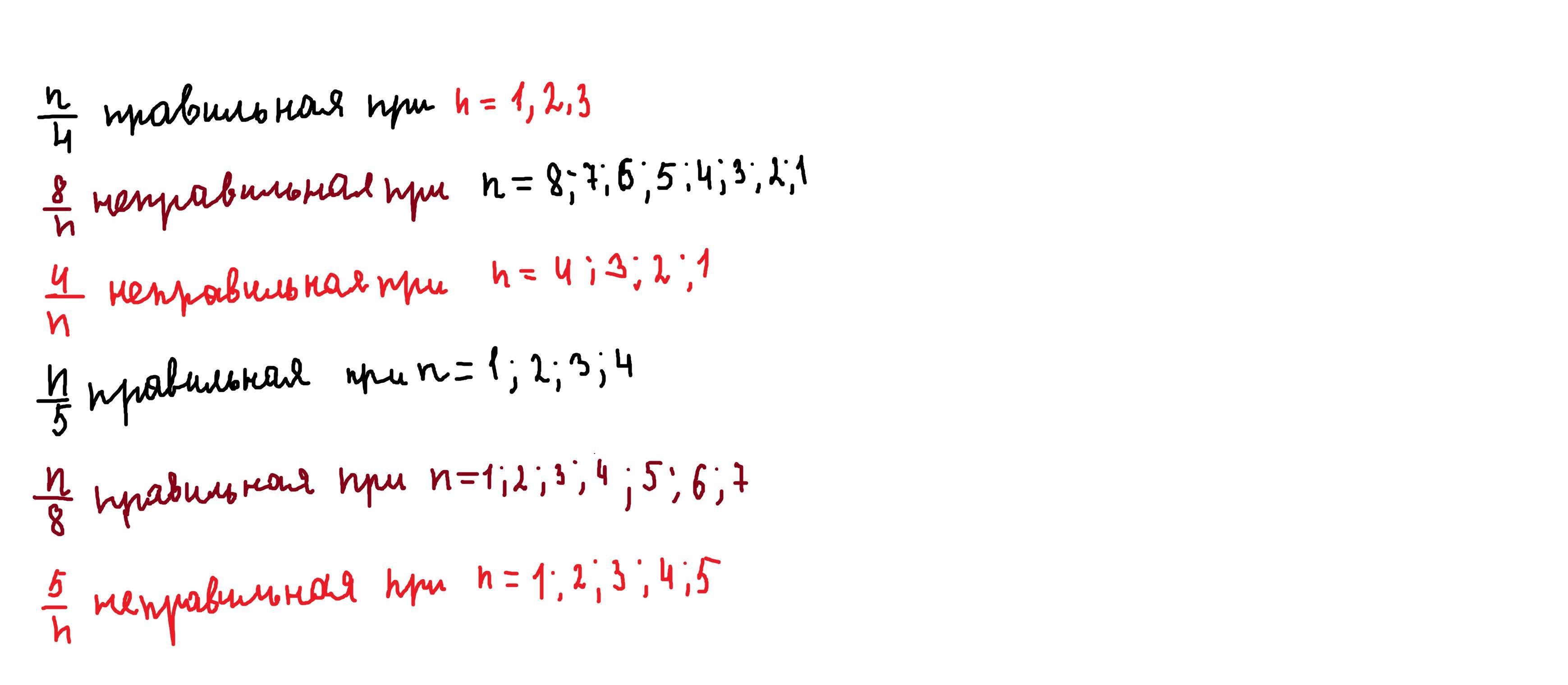
в правильной дроби числитель меньше знаменателя (1/2    3/4    6/7)

в неправильной дроби числитель больше или равен знаменателю

(6/5   7/7     12/11    134/134)

n/4     правильная   при =1,2,3         получим     1/4    2/4     3/4

8/n      неправильная  при =1;2;3;4;5;6;7;8    получим   8/1   8/2      8/3

8/4      8/5      8/6    8 /7      8/8

Приложения:
Вас заинтересует