• Предмет: Математика
  • Автор: vladimirlasin434
  • Вопрос задан 7 лет назад

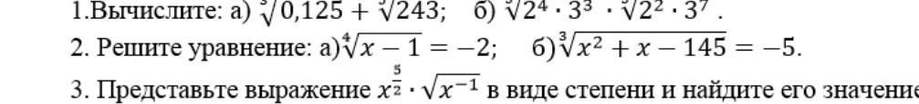
решите 2й очень надо пожалуйста ​

Приложения:

Ответы

Ответ дал: bb573878
1

Ответ:

Пошаговое объяснение:

\sqrt[4]{x-1} =-2

уравнение не имеет решений, поскольку

значение корня четной степени не может быть

отрицательным числом

Ответ: ∅

\sqrt[3]{x^2+x-145}=-5\\\\ x^2+x-145=-5^3\\\\x^2+x-145=-125\\\\x^2+x-20=0\\\\po~Vieta~~x_1=-5;x_2=4\\\\Otvet:-5;~4

Вас заинтересует