• Предмет: Алгебра
  • Автор: anik200579
  • Вопрос задан 7 лет назад

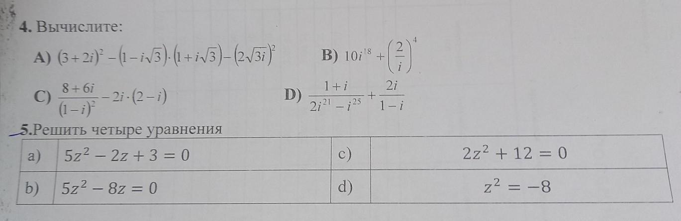
помогите пожалуйста решить уравнения ​

Приложения:

Ответы

Ответ дал: so526462
1

Ответ:

A) Исходная задача:

5 {z}^{2}  - 2z + 3 = 0

Решение:

Шаг 1 Переносим все члены с неизвестными в одну часть, а все известные члены - в другую

Условие

5 {z}^{2}  - 2z + 3 = 0

Заменяется на:

5 {z}^{2}  - 2z = - 3

Шаг 2 решаем квадратное уравнение относительно

z

Дискриминант равен

-56

Условие

5 {z}^{2}  - 2z = - 3

Заменяется на:

Нет решений

Ответ: Нет решений


so526462: Нет мой ответ окончательный.
anik200579: да и все долго ждать не буду
anik200579: темболее он не окончательный у тебя ты ещё передумаешь и сделаешь
anik200579: я извинился не нравится что-то недостаточно не веришь твои проблемы я свое сказал поэтому подумай ответ у тебя не окончательный
anik200579: что молчишь
anik200579: может ответишь
anik200579: разблокай
anik200579: специально молчит
anik200579: ты в сети и молчишь ответ скажи свой
anik200579: жду ответа
Вас заинтересует