Ответы
Ответ дал:
0
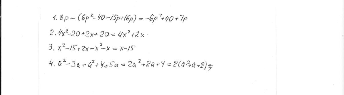
8p-(3p+8)(2p-5)=8p-6p-15p+16p-40= 13p-40
(2x-4)(2x+5)+20=4x2+10x-8x-20+20=4x2+2x
(x-3)(x+5)-(x2+x)=x2+5x-3x-15-x(x+1)=x2+2x-15-x2-x=x-15
a(a-3)+(a+1)(a+4)=a2-3a+a2+4a+a+4=2a2+2a+4
вроде так:)
(2x-4)(2x+5)+20=4x2+10x-8x-20+20=4x2+2x
(x-3)(x+5)-(x2+x)=x2+5x-3x-15-x(x+1)=x2+2x-15-x2-x=x-15
a(a-3)+(a+1)(a+4)=a2-3a+a2+4a+a+4=2a2+2a+4
вроде так:)
Ответ дал:
0
ответ в файле....................................
Приложения:

Вас заинтересует
2 года назад
2 года назад
8 лет назад
8 лет назад
10 лет назад
10 лет назад
10 лет назад