• Предмет: Математика
  • Автор: Аноним
  • Вопрос задан 7 лет назад

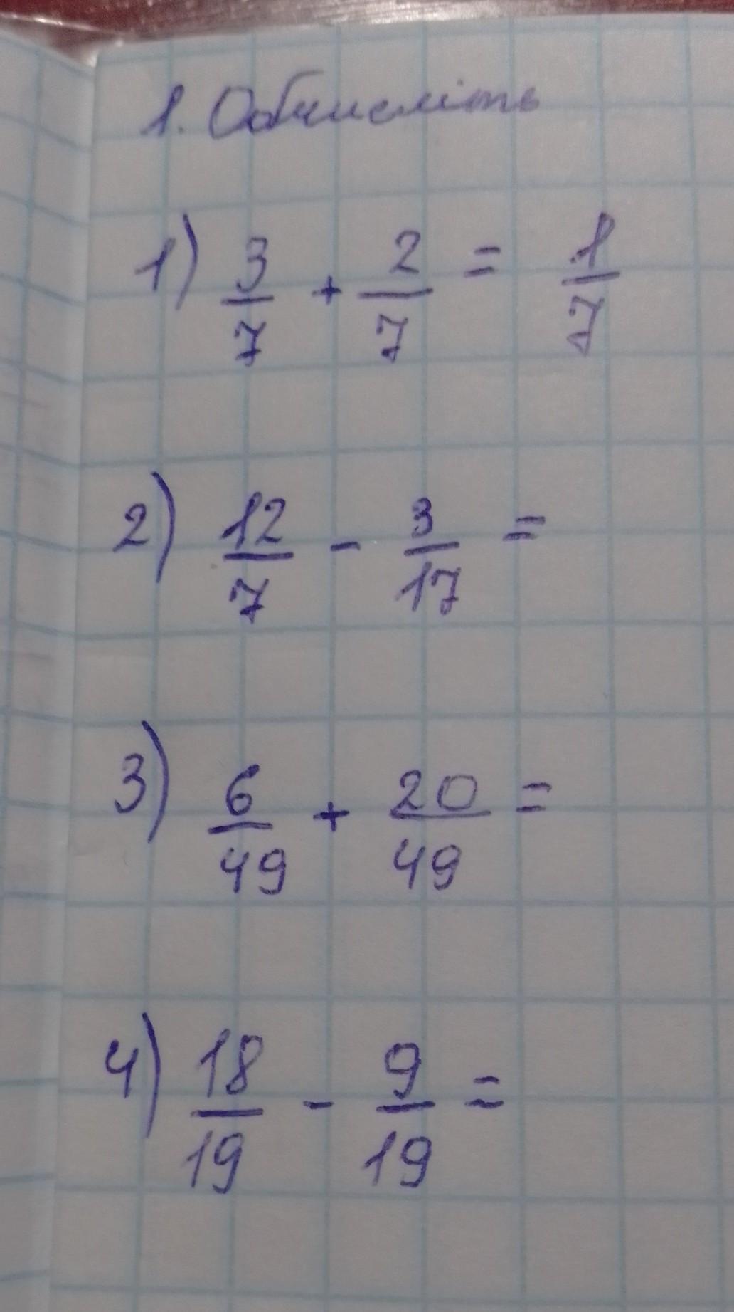
будь ласка бистренько​

Приложения:

Ответы

Ответ дал: polikrolik2009
0
Это 2-е, остольное в коментах напишу
Приложения:

polikrolik2009: 1) 5/7
2)183/119 = 1 64/119
3) 26/49
4)9/19
Ответ дал: aleksandrovna1821
0

1) Не поняла ваш ответ \frac{1}{7} . Должно получиться \frac{5}{7} .

2) \frac{12}{7} - \frac{3}{17} = \frac{12*17}{119} - \frac{3*7}{119} = \frac{204}{119} - \frac{21}{119} = \frac{183}{119} = 1\frac{64}{119}  (Подозреваю, что вы неправильно списали пример. Скорее пример выглядел так \frac{12}{7} - \frac{3}{7} либо \frac{12}{17} - \frac{3}{17} . Ибо он слишком сложный по сравнению с остальными. В первом случае получается \frac{9}{7} = 1\frac{2}{7} , во втором - \frac{9}{17} .)

3) \frac{6}{49} + \frac{20}{49} = \frac{26}{49}

4) \frac{18}{19} - \frac{9}{19} = \frac{9}{19}

Вас заинтересует