• Предмет: Алгебра
  • Автор: fitnxw1137
  • Вопрос задан 7 лет назад

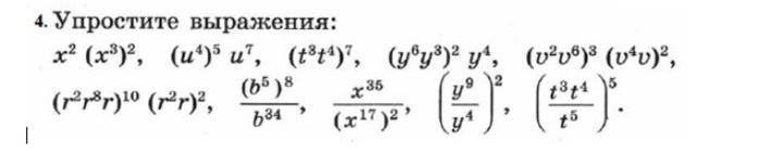
Помогите срочно все на скрине​

Приложения:

Ответы

Ответ дал: natalyvd
1

Ответ:

Объяснение:

на фото

Приложения:

fitnxw1137: спасибо
Вас заинтересует