• Предмет: Геометрия
  • Автор: espulatovabbos
  • Вопрос задан 7 лет назад

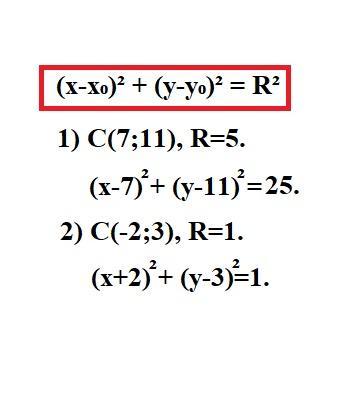
ставьте уравнение окружности с центром в точке C и радиусосм R, если: 1) С(7; 11), R=5; 2) C(-2; 3), R=1

Ответы

Ответ дал: yevheniiavz
0

Відповідь:

решение смотрите на фото.

Приложения:
Вас заинтересует