СРОЧНО ПОЖАЛУЙСТА разложить на множители числитель и знаменатель дроби и сократить её:16-y^2/4y^2-y^3
ianswerquestions:
слэш это дробь
Ответы
Ответ дал:
0
Ответ:
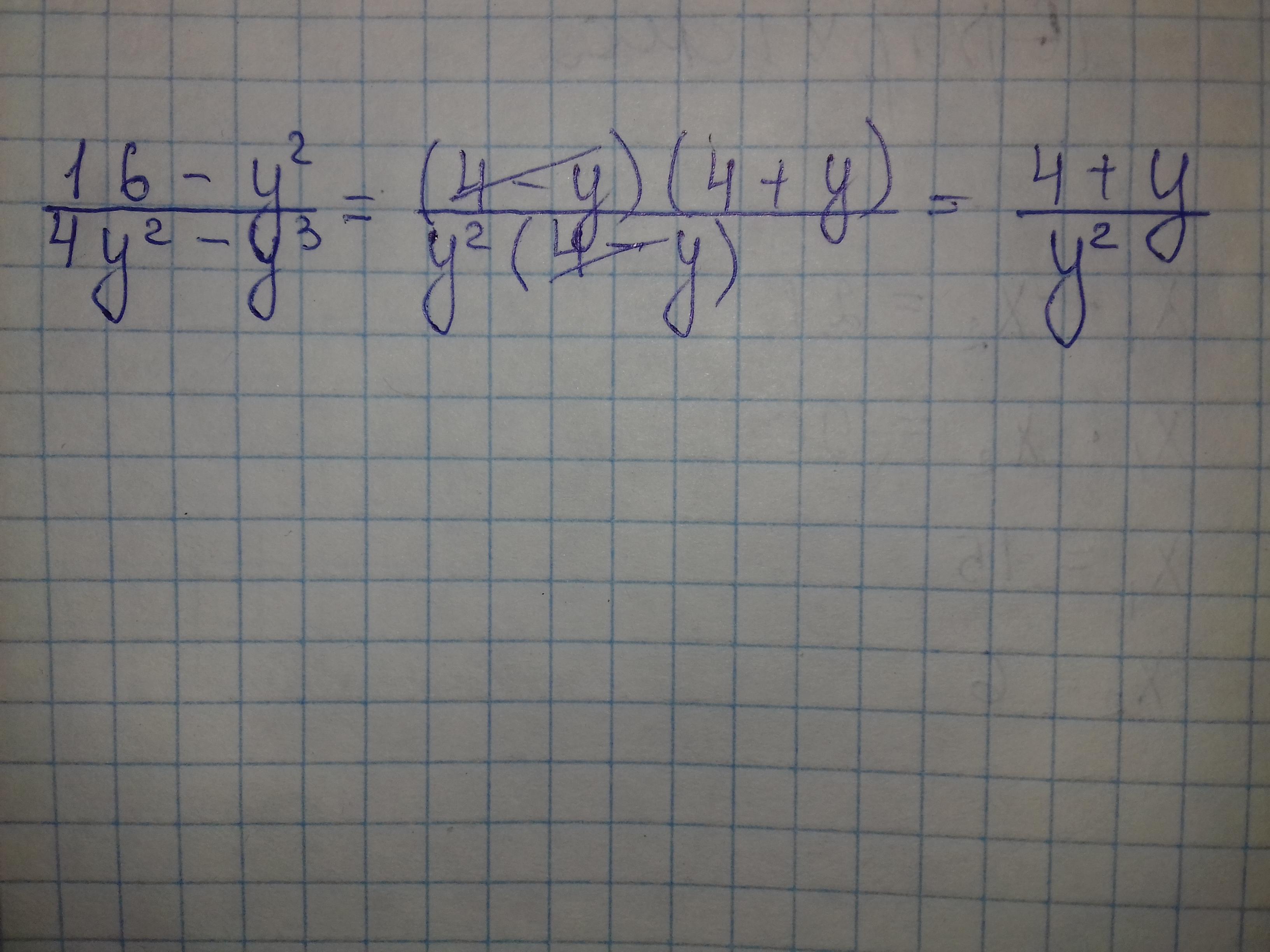
Смотри фото ниже.
Объяснение:
Приложения:

Ответ дал:
0
Ответ:
Объяснение:
(16-y^2)/(4y^2-y^3)=4/y^2+1/y
Вас заинтересует
2 года назад
2 года назад
2 года назад
2 года назад
8 лет назад
8 лет назад
9 лет назад