• Предмет: Математика
  • Автор: Inna790
  • Вопрос задан 7 лет назад

Помогите пожалуйста разобраться в уровнениях!!!​

Приложения:

Ответы

Ответ дал: jekadva
1

Ответ:

Пошаговое объяснение:

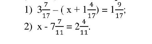
1)

3 7/17 - x - 1 4/17 = 1 9/17

2 3/17 - x = 1 9/17

x = 2 3/17 - 1 9/17

x = 1 20/17 - 1 9/17

x = 11/17

=================

x - 7 7/11 = 2 4/11

x = 2 4/11 + 7 7/11

x = 9 11/11

x = 10

Вас заинтересует