• Предмет: Алгебра
  • Автор: Ridodbdnbdbdb
  • Вопрос задан 7 лет назад

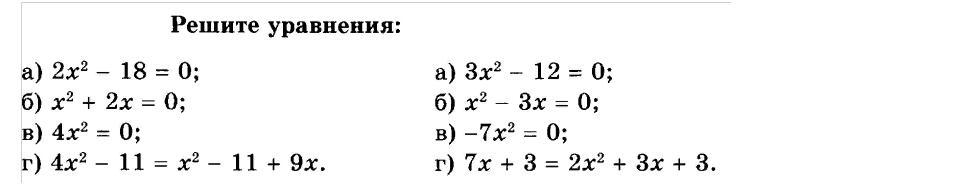
Решите уравнение помогите плиз

Приложения:

Ridodbdnbdbdb: пожалуйста 8 класс

Ответы

Ответ дал: ramizzur6839
0

Ответ:

сам делай .....................

Ответ дал: kira11775
0
Вот , я решила
Жду свои баллы)
Приложения:
Вас заинтересует