• Предмет: Алгебра
  • Автор: Mashuuulya
  • Вопрос задан 11 лет назад

1.Выполните действия.
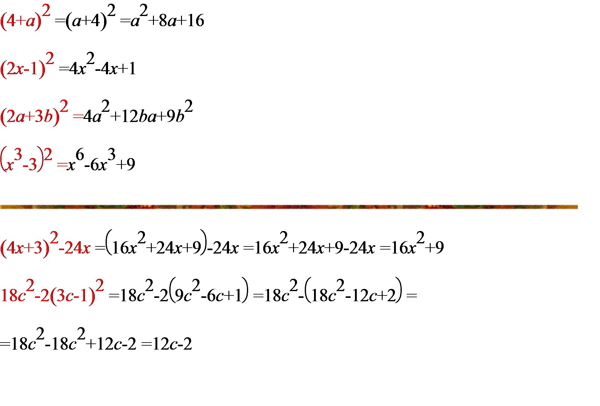
а)(4+a)^{2}
б)(2x-1)^{2}
в)(2a+3b)^{2}
г)(x^{3}-3)^{2}
2.Представьте трехчлен в виде квадратаидвучлена.
а)x^{2}+6x+9
б)25x^{2}-10x+y^{2}
3.Упростите выражения.
а)(4x+3)^{2}-24x
б)18с^{2}-2(3c-1)^{2}

Ответы

Ответ дал: triolana
0

файл

===========================

Приложения:
Вас заинтересует